
◼产品描述
Lead Fluids凭借在气体质量流量测量与控制领域卓越的技术实力脱颖而出。我们始终致力于为客户提供卓越、稳定、可靠的气体测控技术及全方位解决方案。无论是服务于半导体、太阳能光伏、汽车等行业,还是新能源、医疗器械、环境监测、生物化学与生命科学领域,我们都能提供量身定制的高品质服务,精准满足气体测量、控制及工艺管理的严苛要求。面对瞬息万变的市场需求和日益提升的客户期望,我们坚持持续创新,确保服务能适应终端应用的快速演进,满足客户的多元化需求。
◼产品特性
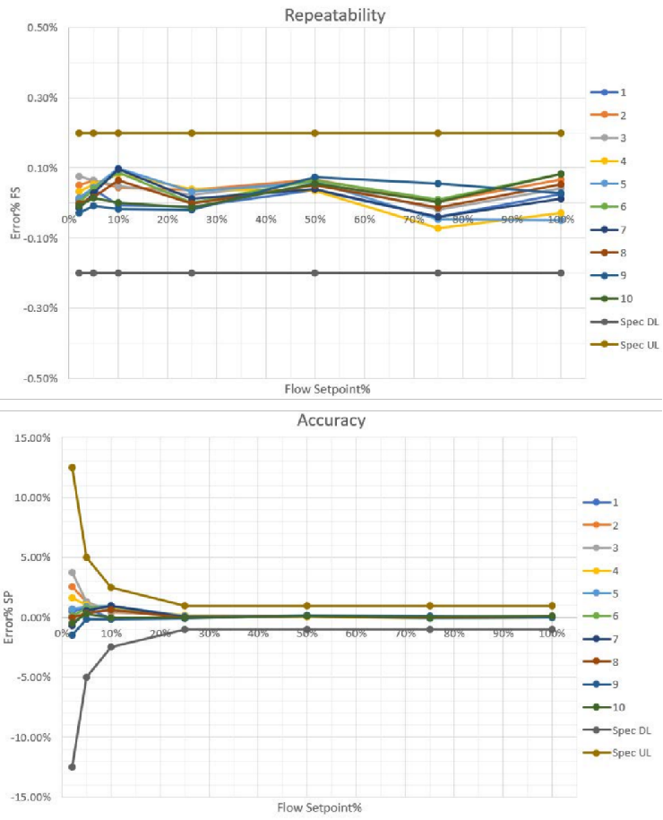
优异的重复性
E系列质量流量控制器因其在气体流量控制领域的卓越表现而广受赞誉。其中,优异的重复性是其特性之一。无论是在连续运行模式还是间歇运行模式下,E系列质量流量控制器都能展现出稳定可靠的性能。这意味着即使在长期使用过程中,E系列质量流量控制器的流量控制精度也能保持一致,为用户提供更精准可靠的气体流量控制解决方案。


气体质量流量计/控制器型号 |
EM66/E60 |
性能 | 满量程(N2当量) | 2 sccm – 5 slm | 5 slm – 50 slm | 30 slm – 200 slm | 200 slm – 500 slm |
控制范围 | 2% - 100% F.S. |
响应时间 | ≤ 1.0 s 达到满量程±1% | ≤ 3.0 s 达到满量程±2% |
流量精度 | ≤±1% S.P.(25%-100% F.S.) ≤±0.25% F.S.(2%-25% F.S.) | ≤±2% F.S |
线性度 | ≤±0.5% F.S. | ≤±1% F.S. |
重复性 | ≤±0.2% F.S. |
正常工作压力 | 0.05 MPa – 0.28 MPa | 5 slm – 23 slm: 0.07 MPa - 0.25 Mpa 23 slm – 50 slm: 0.14MPa – 0.28 Mpa | 0.15 MPa - 0.30 MPa | 0.20 MPa – 0.30 MPa |
最大工作压差 | 0.48 MPa (≈70 psig) |
耐压强度 | 最大1.03 MPa (150 psig) |
阀门泄漏率 | 氟橡胶: 最大1*10-7 Pa.m3/s (He) 金属: 最大1*10-11 Pa·m3/s (He) |
工作温度 | 标准产品:5℃ – 45℃ 高温一体式产品:45℃ - 70℃ 高温分体式产品:70℃ - 120 ℃ |
机械配置 | 阀门类型 | 常开(NO)/常闭(NC)/无阀(流量计) |
密封材料 | 氟橡胶/金属 |
材质 | 不锈钢316L、PTFE、FKM、FFKM |
表面处理 | Ra: ≤5 (金属) |
电气配置 | 电信号 | (4 - 20)mA, 0-5VDC: 9P-Dsub*1 (4 - 20)mA, 0-5VDC: 9P-Dsub*1, RS485: RJ11*2 ProfiBus-DP: 总线: 9P-Dsub(F)*1, 电源: 9P-Dsub(M)*1 DeviceNet: 5针M12*1, RJ11*1 EtherCAT: RJ45*2, 5针M8*1 ProfiNet: RJ45*2, 5针M8*1 |
输入电源 | +15 VDC ±2% 50 mA -15 VDC ±2% 最大250 mA 24 VDC ±15% 最大300 mA |
功耗 | 3.5W | 4.5W |
可选配置 | 集成控制面板 | TFT触摸屏:可读取、控制及计算气体质量流量,仅支持橡胶密封产品 |
多气体多量程 | 流量段:2sccm – 50slm 控制范围:5% - 100% F.S. 精度:±1.5%(5-100% F.S.) 仅支持金属密封 仅支持数字通信、DeviceNet和EtherCAT通信 |
◼支持气体
本产品支持440种工业及特殊气体,涵盖以下类别:
• 常规工业气体(如N₂、O₂、Ar)
• 半导体级特殊气体(包括刻蚀、沉积、掺杂用高纯气体)
• 定制混合气体(可根据客户需求提供精确配比)
如需确认特定气体是否在兼容列表中,请联系我们的技术销售团队获取最新气体清单及兼容性解决方案。
编码 | 说明 | 选项 | 选项说明 |
I | 型号 | E60 | 气体质量流量控制器 |
EM66 | 气体质量流量计 |
II | 应用 | ST | 5℃-45℃标准应用 |
HT | 高温应用(45℃ - 70℃),一体式 |
HTS | 高温应用(45℃ - 120℃),分体式 |
III | 配置 | C | 标准配置(N2校准,MGMR),支持流量范围<50slm的产品 |
X | 预设气体(多对一,单气体) |
IV | 气体或标准配置 | XXXX-XXXX | 半导体气体代码及量程,(51 - 500)slm仅支持单气体设置 |
PS60-010C | 多对0:N2(当量)10 sccm F.S. |
PS61-030C | 多对1:N2(当量)30 sccm F.S. |
PS62-100C | 多对2:N2(当量)100 sccm F.S. |
PS63-300C | 多对3:N2(当量)300 sccm F.S. |
PS64-001L | 多对4:N2(当量)1000 sccm F.S. |
PS65-003L | 多对5:N2(当量)3000 sccm F.S. |
PS66-005L | 多对6:N2(当量)5000 sccm F.S. |
PS67-010L | 多对7:N2(当量)10000 sccm F.S. |
PS68-030L | 多对8:N2(当量)30000 sccm F.S. |
PS69-050L | 多对9:N2(当量)50000 sccm F.S. |
V | 气体管路接口 |
61 | 1/4" SwageLok公头,仅支持橡胶密封产品 |
62 | 3/8" SwageLok公头,仅支持流量5slm及以上的橡胶密封产品 |
63 | 1/4" VCR公头 |
65 | 1.125" C型密封圈,仅支持金属密封产品 |
66 | 1.125" W型密封圈,仅支持金属密封产品 |
67 | 1.5" C型密封圈,仅支持金属密封产品 |
68 | 1.5" W型密封圈,仅支持金属密封产品 |
69 | 6mm SwageLok公头,仅支持橡胶密封产品 |
70 | 8mm SwageLok公头,仅支持流量5slm及以上的橡胶密封产品 |
71 | 10mm SwageLok公头,仅支持流量5slm及以上的橡胶密封产品 |
72 | 1/2" SwageLok公头,仅支持流量5slm及以上的橡胶密封产品 |
73 | 1/2" VCR公头,仅支持流量5slm及以上的产品 |
74 | 6mm软管,仅支持橡胶密封产品 |
75 | 8mm软管,仅支持橡胶密封产品 |
VI | 阀门状态 | C | 常闭 |
O | 常开,仅支持流量范围50slm以下 |
N | 无阀(EM66) |
VII | 密封材料 | F | 氟橡胶(默认) |
M | 金属 |
VIII | 通信/电源接口 | DZ | RS485数字通信,模拟兼容,0 - 5 VDC,±15V电源 |
DY | RS485数字通信,模拟兼容,4mA -20mA,±15V电源 |
DX | RS485数字通信,模拟兼容,0 - 5 VDC,24V电源 |
DW | RS485数字通信,模拟兼容,4mA-20mA,24V电源 |
MZ | Modbus通信,模拟兼容,0 - 5 VDC,±15V电源 |
MY | Modbus通信,模拟兼容,4mA -20mA,±15V电源 |
MX | Modbus通信,模拟兼容,0 - 5 VDC,24V电源 |
MW | Modbus通信,模拟兼容,4mA-20mA,24V电源 |
PZ | ProfiBus协议通信 |
NZ | DeviceNet协议通信 |
EZ | EtherCAT协议通信 |
RZ | ProfiNet协议通信 |
IX | 特殊要求 | XXXX | 客户特殊要求代码 |
产品编码选择示例:E60型号,标准应用,MGMR,1/4 VCR,阀门常闭,金属密封,DeviceNet通信 |
I | II | III | IV | V | VI | VII | VIII | IX |
E60 | ST | C | PS60-010C | 63 | C | M | NZ | XXXX |